RESEARCH
科学研究
科学研究
Applied Economics and Sustainable development
应用经济学与可持续发展

伟德应用经济学与可持续发展研究领域旨在研究信息通讯技术(如大数据、人工智能、区块链技术等)如何影响企业管理、企业行为、市场结构和经济发展等问题。如何认识、理解与应用数字经济学是时代赋予我们的使命。数字经济的不断发展促进了资源的合理利用和环境保护,对可持续发展有着积极推动作用。在中国实现可持续发展目标和数字经济的背景下,伟德汇聚了牛津、哈佛、北大等国内外顶尖高校毕业的研究人员,旨在理论探索数字经济学基本原理,实践摸索数字经济发展基本规律,培育数字经济发展后备人才,同时致力于对中国实现可持续发展目标过程中所遇到的挑战和机遇以及可能的发展路径进行研究。

Fintech and modern finance
金融科技与现代财务

伟德金融科技与现代财务学科研究领域旨在立足于市场化和国际化背景下努力建设成为大湾区以至国际一流水平的创新金融研究平台,顺应国际以及中国的金融新发展、新趋势,积极推进理论和实践创新,为金融企业发展及监管部门政策制定提供咨询,同时力争成为创新金融领域的领先智库,同时致力于不断推动现代财务管理和会计学的团队建设和学术研究发展,强调公司治理、财务、会计学术研究与商界实务之结合,立足湾区,放眼世界。

Business Administration and Big Data
工商管理与大数据

伟德工商管理与大数据研究领域致力于探索传统工商管理与数智科技之间的加法效应与乘法效应,以“服务数字时代的数智企业管理需求”为中心目标,通过“坚持申请面向数智企业管理的专业学位,坚持开发面向数智企业管理的课程体系,坚持构建面向数智企业管理的团队队伍,坚持聚焦面向数智企业管理的学术研究”这四项核心任务,为国家培养兼具数字领导力和数字技能的企业管理人才。

科研项目
项目名称 负责人 立项时间 项目类型
企业数字化转型提升产业链供应链韧性的理论机制、实证检验与政策构建研究 赵春燕 2025年 教育部人文社科
结构性货币政策、企业债务和经济增长:微观事实、理论分析和政策模拟 郑智杰 2025年 教育部人文社科
多元共治视角下碳捕集利用与封存效益评估与提升路径研究 檀之舟 2025年 国自科
共同分析师网络与企业高质量发展:基于信息传递的视角 董育森 2025年 国自科
货币政策再分配效应的理论和实证研究 郑智杰 2021年 省社科
国际“创新教学法”对我国高校管理学教学革新的适切性及启示——基于对IPR系列报告的文本分析及对英国亨利商公司的教学考察 孟子敏 2021年 省社科
基于“一带一路”视角的双向对外直接投资与全球价值链升级研究 丁秀飞 2020年 省自科
碳中和背景下中国不同高度风电潜力及经济效益研究 王铮 2023年 国自科
组态视角下数字化项目集群的复杂风险评估与治理研究 吴晓松 2023年 国自科
个性化契约对个体及团队工作繁荣的影响机制研究:基于资源扩张与传递网络的动态视角 徐洁 2023年 国自科
环境规制对收入分布的影响机制:基于异质性环境综合模型的理论与实证分析 陈应东 2022年 国自科
VSB情景下农业生产系统碳汇供给潜力与效率研究 陈儒 2022年 国自科
顾客隐私泄露丑闻对消费者行为的影响及企业的应对策略研究:基于隐私悖论的视角 谢毅 2020年 国自科
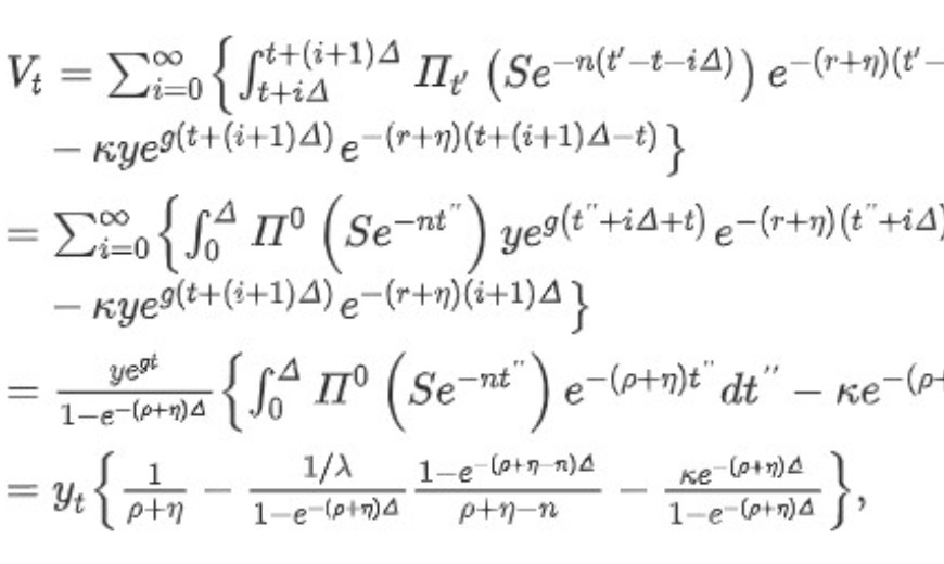
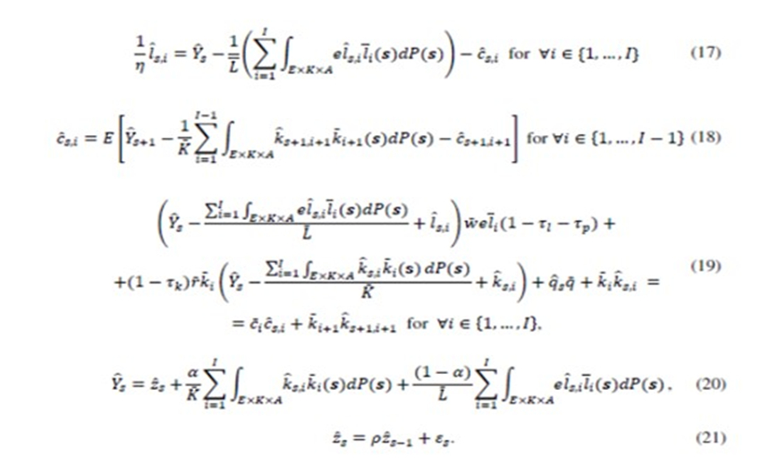
科研论文